Conditional Average Treatment Effects (CATE) with DoWhy and EconML

This is an experimental feature where we use EconML methods from DoWhy. Using EconML allows CATE estimation using different methods.

All four steps of causal inference in DoWhy remain the same: model, identify, estimate, and refute. The key difference is that we now call econml methods in the estimation step. There is also a simpler example using linear regression to understand the intuition behind CATE estimators.

All datasets are generated using linear structural equations.

[1]:
%load_ext autoreload
%autoreload 2
[2]:
import numpy as np
import pandas as pd
import logging

import dowhy
from dowhy import CausalModel
import dowhy.datasets

import econml
import warnings
warnings.filterwarnings('ignore')

BETA = 10
[3]:
data = dowhy.datasets.linear_dataset(BETA, num_common_causes=4, num_samples=10000,
                                    num_instruments=2, num_effect_modifiers=2,
                                     num_treatments=1,
                                    treatment_is_binary=False,
                                    num_discrete_common_causes=2,
                                    num_discrete_effect_modifiers=0,
                                    one_hot_encode=False)
df=data['df']
print(df.head())
print("True causal estimate is", data["ate"])
         X0        X1   Z0        Z1        W0        W1 W2 W3         v0  \
0  0.680855 -0.081822  0.0  0.363662 -1.457851  0.486804  2  3  21.904925
1 -1.366921  1.606660  1.0  0.505995  0.022552 -0.744353  3  3  36.342609
2  0.448970 -0.942918  0.0  0.790112  0.488717 -0.630550  2  0  13.715890
3 -0.413223 -1.072336  0.0  0.999187 -2.757718 -0.282076  2  0  13.279910
4 -0.133890  0.752749  1.0  0.307046 -0.829915 -1.434104  3  1  21.662710

            y
0  282.284051
1  244.554705
2  143.071317
3   78.660784
4  219.933669
True causal estimate is 10.230462989973262
[4]:
model = CausalModel(data=data["df"],
                    treatment=data["treatment_name"], outcome=data["outcome_name"],
                    graph=data["gml_graph"])
[5]:
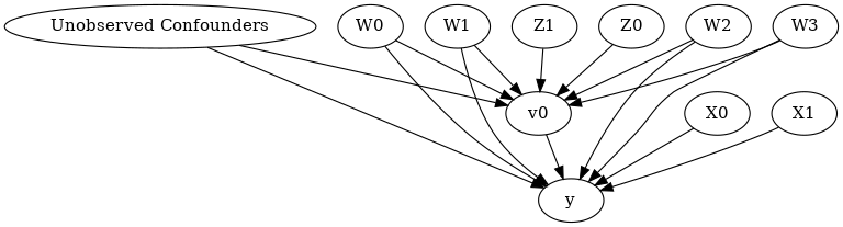
model.view_model()
from IPython.display import Image, display
display(Image(filename="causal_model.png"))
../_images/example_notebooks_dowhy-conditional-treatment-effects_5_0.png
[6]:
identified_estimand= model.identify_effect(proceed_when_unidentifiable=True)
print(identified_estimand)
Estimand type: nonparametric-ate

### Estimand : 1
Estimand name: backdoor
Estimand expression:
  d
─────(Expectation(y|Z1,X1,W1,Z0,W3,W2,W0,X0))
d[v₀]
Estimand assumption 1, Unconfoundedness: If U→{v0} and U→y then P(y|v0,Z1,X1,W1,Z0,W3,W2,W0,X0,U) = P(y|v0,Z1,X1,W1,Z0,W3,W2,W0,X0)

### Estimand : 2
Estimand name: iv
Estimand expression:
Expectation(Derivative(y, [Z0, Z1])*Derivative([v0], [Z0, Z1])**(-1))
Estimand assumption 1, As-if-random: If U→→y then ¬(U →→{Z0,Z1})
Estimand assumption 2, Exclusion: If we remove {Z0,Z1}→{v0}, then ¬({Z0,Z1}→y)

### Estimand : 3
Estimand name: frontdoor
No such variable found!

Linear Model

First, let us build some intuition using a linear model for estimating CATE. The effect modifiers (that lead to a heterogeneous treatment effect) can be modeled as interaction terms with the treatment. Thus, their value modulates the effect of treatment.

Below the estimated effect of changing treatment from 0 to 1.

[7]:
linear_estimate = model.estimate_effect(identified_estimand,
                                        method_name="backdoor.linear_regression",
                                       control_value=0,
                                       treatment_value=1)
print(linear_estimate)
*** Causal Estimate ***

## Identified estimand
Estimand type: nonparametric-ate

### Estimand : 1
Estimand name: backdoor
Estimand expression:
  d
─────(Expectation(y|Z1,X1,W1,Z0,W3,W2,W0,X0))
d[v₀]
Estimand assumption 1, Unconfoundedness: If U→{v0} and U→y then P(y|v0,Z1,X1,W1,Z0,W3,W2,W0,X0,U) = P(y|v0,Z1,X1,W1,Z0,W3,W2,W0,X0)

## Realized estimand
b: y~v0+Z1+X1+W1+Z0+W3+W2+W0+X0
Target units: ate

## Estimate
Mean value: 10.690211742892949

EconML methods

We now move to the more advanced methods from the EconML package for estimating CATE.

First, let us look at the double machine learning estimator. Method_name corresponds to the fully qualified name of the class that we want to use. For double ML, it is “econml.dml.DML”.

Target units defines the units over which the causal estimate is to be computed. This can be a lambda function filter on the original dataframe, a new Pandas dataframe, or a string corresponding to the three main kinds of target units (“ate”, “att” and “atc”). Below we show an example of a lambda function.

Method_params are passed directly to EconML. For details on allowed parameters, refer to the EconML documentation.

[8]:
from sklearn.preprocessing import PolynomialFeatures
from sklearn.linear_model import LassoCV
from sklearn.ensemble import GradientBoostingRegressor
dml_estimate = model.estimate_effect(identified_estimand, method_name="backdoor.econml.dml.DML",
                                     control_value = 0,
                                     treatment_value = 1,
                                 target_units = lambda df: df["X0"]>1,  # condition used for CATE
                                 confidence_intervals=False,
                                method_params={"init_params":{'model_y':GradientBoostingRegressor(),
                                                              'model_t': GradientBoostingRegressor(),
                                                              "model_final":LassoCV(fit_intercept=False),
                                                              'featurizer':PolynomialFeatures(degree=1, include_bias=False)},
                                               "fit_params":{}})
print(dml_estimate)
*** Causal Estimate ***

## Identified estimand
Estimand type: nonparametric-ate

### Estimand : 1
Estimand name: backdoor
Estimand expression:
  d
─────(Expectation(y|Z1,X1,W1,Z0,W3,W2,W0,X0))
d[v₀]
Estimand assumption 1, Unconfoundedness: If U→{v0} and U→y then P(y|v0,Z1,X1,W1,Z0,W3,W2,W0,X0,U) = P(y|v0,Z1,X1,W1,Z0,W3,W2,W0,X0)

## Realized estimand
b: y~v0+Z1+X1+W1+Z0+W3+W2+W0+X0 |
Target units: Data subset defined by a function

## Estimate
Mean value: 12.12120239567344
Effect estimates: [12.1212024 12.1212024 12.1212024 ... 12.1212024 12.1212024 12.1212024]

[9]:
print("True causal estimate is", data["ate"])
True causal estimate is 10.230462989973262
[10]:
dml_estimate = model.estimate_effect(identified_estimand, method_name="backdoor.econml.dml.DML",
                                     control_value = 0,
                                     treatment_value = 1,
                                 target_units = 1,  # condition used for CATE
                                 confidence_intervals=False,
                                method_params={"init_params":{'model_y':GradientBoostingRegressor(),
                                                              'model_t': GradientBoostingRegressor(),
                                                              "model_final":LassoCV(fit_intercept=False),
                                                              'featurizer':PolynomialFeatures(degree=1, include_bias=True)},
                                               "fit_params":{}})
print(dml_estimate)
*** Causal Estimate ***

## Identified estimand
Estimand type: nonparametric-ate

### Estimand : 1
Estimand name: backdoor
Estimand expression:
  d
─────(Expectation(y|Z1,X1,W1,Z0,W3,W2,W0,X0))
d[v₀]
Estimand assumption 1, Unconfoundedness: If U→{v0} and U→y then P(y|v0,Z1,X1,W1,Z0,W3,W2,W0,X0,U) = P(y|v0,Z1,X1,W1,Z0,W3,W2,W0,X0)

## Realized estimand
b: y~v0+Z1+X1+W1+Z0+W3+W2+W0+X0 |
Target units:

## Estimate
Mean value: 11.64277316710624
Effect estimates: [11.64277317 11.64277317 11.64277317 ... 11.64277317 11.64277317
 11.64277317]

CATE Object and Confidence Intervals

EconML provides its own methods to compute confidence intervals. Using BootstrapInference in the example below.

[11]:
from sklearn.preprocessing import PolynomialFeatures
from sklearn.linear_model import LassoCV
from sklearn.ensemble import GradientBoostingRegressor
from econml.inference import BootstrapInference
dml_estimate = model.estimate_effect(identified_estimand,
                                     method_name="backdoor.econml.dml.DML",
                                     target_units = "ate",
                                     confidence_intervals=True,
                                     method_params={"init_params":{'model_y':GradientBoostingRegressor(),
                                                              'model_t': GradientBoostingRegressor(),
                                                              "model_final": LassoCV(fit_intercept=False),
                                                              'featurizer':PolynomialFeatures(degree=1, include_bias=True)},
                                               "fit_params":{
                                                               'inference': BootstrapInference(n_bootstrap_samples=100, n_jobs=-1),
                                                            }
                                              })
print(dml_estimate)
*** Causal Estimate ***

## Identified estimand
Estimand type: nonparametric-ate

### Estimand : 1
Estimand name: backdoor
Estimand expression:
  d
─────(Expectation(y|Z1,X1,W1,Z0,W3,W2,W0,X0))
d[v₀]
Estimand assumption 1, Unconfoundedness: If U→{v0} and U→y then P(y|v0,Z1,X1,W1,Z0,W3,W2,W0,X0,U) = P(y|v0,Z1,X1,W1,Z0,W3,W2,W0,X0)

## Realized estimand
b: y~v0+Z1+X1+W1+Z0+W3+W2+W0+X0 |
Target units: ate

## Estimate
Mean value: 11.884263413815686
Effect estimates: [11.88426341 11.88426341 11.88426341 ... 11.88426341 11.88426341
 11.88426341]
95.0% confidence interval: (array([11.81925706, 11.81925706, 11.81925706, ..., 11.81925706,
       11.81925706, 11.81925706]), array([12.69017104, 12.69017104, 12.69017104, ..., 12.69017104,
       12.69017104, 12.69017104]))

Can provide a new inputs as target units and estimate CATE on them.

[12]:
test_cols= data['effect_modifier_names'] # only need effect modifiers' values
test_arr = [np.random.uniform(0,1, 10) for _ in range(len(test_cols))] # all variables are sampled uniformly, sample of 10
test_df = pd.DataFrame(np.array(test_arr).transpose(), columns=test_cols)
dml_estimate = model.estimate_effect(identified_estimand,
                                     method_name="backdoor.econml.dml.DML",
                                     target_units = test_df,
                                     confidence_intervals=False,
                                     method_params={"init_params":{'model_y':GradientBoostingRegressor(),
                                                              'model_t': GradientBoostingRegressor(),
                                                              "model_final":LassoCV(),
                                                              'featurizer':PolynomialFeatures(degree=1, include_bias=True)},
                                               "fit_params":{}
                                              })
print(dml_estimate.cate_estimates)
[11.87749573 11.87749573 11.87749573 ... 11.87749573 11.87749573
 11.87749573]

Can also retrieve the raw EconML estimator object for any further operations

[13]:
print(dml_estimate._estimator_object)
<econml.dml.dml.DML object at 0x7f16ffc87100>

Works with any EconML method

In addition to double machine learning, below we example analyses using orthogonal forests, DRLearner (bug to fix), and neural network-based instrumental variables.

Binary treatment, Binary outcome

[14]:
data_binary = dowhy.datasets.linear_dataset(BETA, num_common_causes=4, num_samples=10000,
                                    num_instruments=2, num_effect_modifiers=2,
                                    treatment_is_binary=True, outcome_is_binary=True)
# convert boolean values to {0,1} numeric
data_binary['df'].v0 = data_binary['df'].v0.astype(int)
data_binary['df'].y = data_binary['df'].y.astype(int)
print(data_binary['df'])

model_binary = CausalModel(data=data_binary["df"],
                    treatment=data_binary["treatment_name"], outcome=data_binary["outcome_name"],
                    graph=data_binary["gml_graph"])
identified_estimand_binary = model_binary.identify_effect(proceed_when_unidentifiable=True)
            X0        X1   Z0        Z1        W0        W1        W2  \
0    -0.187533  0.389821  1.0  0.839453  0.940559  1.415391 -0.380913
1    -0.748730  0.671668  0.0  0.475463  0.892004  1.294085  1.611890
2    -0.808333 -0.732631  0.0  0.868789  0.428347  0.675622  0.962348
3    -1.752145 -0.339531  1.0  0.914105  1.286270 -0.819968  1.832863
4    -0.108159 -1.170617  0.0  0.671865  0.987034  0.268190 -0.551639
...        ...       ...  ...       ...       ...       ...       ...
9995 -1.499062  0.679497  1.0  0.762626  2.221605 -0.350508 -0.256909
9996 -1.196394 -0.888150  1.0  0.562215  1.147892 -0.895030  2.146514
9997  0.246945  0.305430  1.0  0.942246 -0.310852  0.226676  1.843343
9998 -1.626697  1.613843  0.0  0.646475 -0.423104  2.829836  1.762817
9999 -2.709163  2.278675  1.0  0.743850  0.863928  0.361682  0.568979

            W3  v0  y
0     0.813579   1  1
1     0.351258   1  1
2     0.414451   1  1
3     0.184053   1  1
4    -0.152793   1  1
...        ...  .. ..
9995 -0.506154   1  1
9996 -0.534854   1  1
9997 -0.333092   1  1
9998  0.728452   1  1
9999  0.667374   1  1

[10000 rows x 10 columns]

Using DRLearner estimator

[15]:
from sklearn.linear_model import LogisticRegressionCV
#todo needs binary y
drlearner_estimate = model_binary.estimate_effect(identified_estimand_binary,
                                method_name="backdoor.econml.drlearner.LinearDRLearner",
                                confidence_intervals=False,
                                method_params={"init_params":{
                                                    'model_propensity': LogisticRegressionCV(cv=3, solver='lbfgs', multi_class='auto')
                                                    },
                                               "fit_params":{}
                                              })
print(drlearner_estimate)
print("True causal estimate is", data_binary["ate"])
*** Causal Estimate ***

## Identified estimand
Estimand type: nonparametric-ate

### Estimand : 1
Estimand name: backdoor
Estimand expression:
  d
─────(Expectation(y|Z1,X1,W1,Z0,W3,W2,W0,X0))
d[v₀]
Estimand assumption 1, Unconfoundedness: If U→{v0} and U→y then P(y|v0,Z1,X1,W1,Z0,W3,W2,W0,X0,U) = P(y|v0,Z1,X1,W1,Z0,W3,W2,W0,X0)

## Realized estimand
b: y~v0+Z1+X1+W1+Z0+W3+W2+W0+X0 |
Target units: ate

## Estimate
Mean value: 0.6194410343673133
Effect estimates: [0.61944103 0.61944103 0.61944103 ... 0.61944103 0.61944103 0.61944103]

True causal estimate is 0.1553

Instrumental Variable Method

[17]:
import keras
from econml.deepiv import DeepIVEstimator
dims_zx = len(model.get_instruments())+len(model.get_effect_modifiers())
dims_tx = len(model._treatment)+len(model.get_effect_modifiers())
treatment_model = keras.Sequential([keras.layers.Dense(128, activation='relu', input_shape=(dims_zx,)), # sum of dims of Z and X
                                    keras.layers.Dropout(0.17),
                                    keras.layers.Dense(64, activation='relu'),
                                    keras.layers.Dropout(0.17),
                                    keras.layers.Dense(32, activation='relu'),
                                    keras.layers.Dropout(0.17)])
response_model = keras.Sequential([keras.layers.Dense(128, activation='relu', input_shape=(dims_tx,)), # sum of dims of T and X
                                    keras.layers.Dropout(0.17),
                                    keras.layers.Dense(64, activation='relu'),
                                    keras.layers.Dropout(0.17),
                                    keras.layers.Dense(32, activation='relu'),
                                    keras.layers.Dropout(0.17),
                                    keras.layers.Dense(1)])

deepiv_estimate = model.estimate_effect(identified_estimand,
                                        method_name="iv.econml.deepiv.DeepIV",
                                        target_units = lambda df: df["X0"]>-1,
                                        confidence_intervals=False,
                                method_params={"init_params":{'n_components': 10, # Number of gaussians in the mixture density networks
                                                              'm': lambda z, x: treatment_model(keras.layers.concatenate([z, x])), # Treatment model,
                                                              "h": lambda t, x: response_model(keras.layers.concatenate([t, x])), # Response model
                                                              'n_samples': 1, # Number of samples used to estimate the response
                                                              'first_stage_options': {'epochs':25},
                                                              'second_stage_options': {'epochs':25}
                                                             },
                                               "fit_params":{}})
print(deepiv_estimate)
Epoch 1/25
10000/10000 [==============================] - 1s 101us/step - loss: 11.6538
Epoch 2/25
10000/10000 [==============================] - 1s 59us/step - loss: 3.7950
Epoch 3/25
10000/10000 [==============================] - 1s 56us/step - loss: 3.0525
Epoch 4/25
10000/10000 [==============================] - 0s 48us/step - loss: 2.9154
Epoch 5/25
10000/10000 [==============================] - 1s 58us/step - loss: 2.8358
Epoch 6/25
10000/10000 [==============================] - 1s 53us/step - loss: 2.7859
Epoch 7/25
10000/10000 [==============================] - 1s 56us/step - loss: 2.7401
Epoch 8/25
10000/10000 [==============================] - 1s 58us/step - loss: 2.7221
Epoch 9/25
10000/10000 [==============================] - 1s 58us/step - loss: 2.7038
Epoch 10/25
10000/10000 [==============================] - 1s 52us/step - loss: 2.6872
Epoch 11/25
10000/10000 [==============================] - 1s 55us/step - loss: 2.6518
Epoch 12/25
10000/10000 [==============================] - 1s 53us/step - loss: 2.6039
Epoch 13/25
10000/10000 [==============================] - 0s 48us/step - loss: 2.5914
Epoch 14/25
10000/10000 [==============================] - 1s 52us/step - loss: 2.5683
Epoch 15/25
10000/10000 [==============================] - 1s 55us/step - loss: 2.5612
Epoch 16/25
10000/10000 [==============================] - 0s 47us/step - loss: 2.5512
Epoch 17/25
10000/10000 [==============================] - 0s 49us/step - loss: 2.5505
Epoch 18/25
10000/10000 [==============================] - 1s 53us/step - loss: 2.5420
Epoch 19/25
10000/10000 [==============================] - 0s 49us/step - loss: 2.5394
Epoch 20/25
10000/10000 [==============================] - 0s 50us/step - loss: 2.5293
Epoch 21/25
10000/10000 [==============================] - 0s 50us/step - loss: 2.5286
Epoch 22/25
10000/10000 [==============================] - 1s 51us/step - loss: 2.5297
Epoch 23/25
10000/10000 [==============================] - 1s 50us/step - loss: 2.5300
Epoch 24/25
10000/10000 [==============================] - 0s 49us/step - loss: 2.5244
Epoch 25/25
10000/10000 [==============================] - 1s 50us/step - loss: 2.5150
Epoch 1/25
10000/10000 [==============================] - 1s 122us/step - loss: 26619.1314
Epoch 2/25
10000/10000 [==============================] - 1s 66us/step - loss: 12579.7654
Epoch 3/25
10000/10000 [==============================] - 1s 69us/step - loss: 11734.7099
Epoch 4/25
10000/10000 [==============================] - 1s 80us/step - loss: 11379.2674
Epoch 5/25
10000/10000 [==============================] - 1s 70us/step - loss: 11188.0021
Epoch 6/25
10000/10000 [==============================] - 1s 69us/step - loss: 11216.7738
Epoch 7/25
10000/10000 [==============================] - 1s 69us/step - loss: 11229.4640
Epoch 8/25
10000/10000 [==============================] - 1s 68us/step - loss: 11196.7148
Epoch 9/25
10000/10000 [==============================] - 1s 68us/step - loss: 11116.8998
Epoch 10/25
10000/10000 [==============================] - 1s 68us/step - loss: 11170.7726
Epoch 11/25
10000/10000 [==============================] - 1s 67us/step - loss: 10935.9323
Epoch 12/25
10000/10000 [==============================] - 1s 65us/step - loss: 11147.3363
Epoch 13/25
10000/10000 [==============================] - 1s 70us/step - loss: 11035.0295
Epoch 14/25
10000/10000 [==============================] - 1s 65us/step - loss: 11127.9812
Epoch 15/25
10000/10000 [==============================] - 1s 66us/step - loss: 10992.1307
Epoch 16/25
10000/10000 [==============================] - 1s 67us/step - loss: 10733.7403
Epoch 17/25
10000/10000 [==============================] - 1s 75us/step - loss: 11034.8012
Epoch 18/25
10000/10000 [==============================] - 1s 75us/step - loss: 10997.0383
Epoch 19/25
10000/10000 [==============================] - 1s 77us/step - loss: 11014.5592
Epoch 20/25
10000/10000 [==============================] - 1s 80us/step - loss: 10885.7880
Epoch 21/25
10000/10000 [==============================] - 1s 63us/step - loss: 10905.1800
Epoch 22/25
10000/10000 [==============================] - 1s 64us/step - loss: 10852.0827
Epoch 23/25
10000/10000 [==============================] - 1s 63us/step - loss: 10641.3063
Epoch 24/25
10000/10000 [==============================] - 1s 67us/step - loss: 10856.0904
Epoch 25/25
10000/10000 [==============================] - 1s 72us/step - loss: 10879.3091
*** Causal Estimate ***

## Identified estimand
Estimand type: nonparametric-ate

### Estimand : 1
Estimand name: iv
Estimand expression:
Expectation(Derivative(y, [Z0, Z1])*Derivative([v0], [Z0, Z1])**(-1))
Estimand assumption 1, As-if-random: If U→→y then ¬(U →→{Z0,Z1})
Estimand assumption 2, Exclusion: If we remove {Z0,Z1}→{v0}, then ¬({Z0,Z1}→y)

## Realized estimand
b: y~v0+Z1+X1+W1+Z0+W3+W2+W0+X0 | X1,X0
Target units: Data subset defined by a function

## Estimate
Mean value: 0.716738760471344
Effect estimates: [ 0.84010315  2.239563   -0.25856018 ...  0.10548401  0.7332916
  1.9136963 ]

Metalearners

[18]:
data_experiment = dowhy.datasets.linear_dataset(BETA, num_common_causes=5, num_samples=10000,
                                    num_instruments=2, num_effect_modifiers=5,
                                    treatment_is_binary=True, outcome_is_binary=False)
# convert boolean values to {0,1} numeric
data_experiment['df'].v0 = data_experiment['df'].v0.astype(int)
print(data_experiment['df'])
model_experiment = CausalModel(data=data_experiment["df"],
                    treatment=data_experiment["treatment_name"], outcome=data_experiment["outcome_name"],
                    graph=data_experiment["gml_graph"])
identified_estimand_experiment = model_experiment.identify_effect(proceed_when_unidentifiable=True)
            X0        X1        X2        X3        X4   Z0        Z1  \
0     1.889075 -0.148901 -3.321291  0.527714  0.408656  1.0  0.332018
1    -0.278462  0.502559  0.345945 -0.578400 -0.602006  0.0  0.857228
2    -0.868973 -2.328919 -1.114627  0.268724 -0.375727  1.0  0.172623
3     0.960801  0.437432 -0.439229 -0.478421 -0.482326  0.0  0.346306
4     1.747583  0.397312 -0.002248 -1.231510  0.872643  0.0  0.414153
...        ...       ...       ...       ...       ...  ...       ...
9995  0.647206 -0.211020 -0.175888  0.409196 -0.119107  0.0  0.802795
9996 -1.129477  0.329195 -0.385835 -1.099640 -1.171596  0.0  0.979090
9997  2.553457  1.340551 -0.524767  0.153859 -0.121225  0.0  0.605828
9998 -0.658872  1.386591 -2.662249  0.248188  0.063398  0.0  0.999788
9999 -0.476124  0.275236 -0.498938 -0.335998  1.497155  0.0  0.093024

            W0        W1        W2        W3        W4  v0          y
0     0.075309  2.149438  0.589466 -0.679515  0.481774   1  17.872428
1     0.332104  0.380258  0.176676 -0.066274 -0.130537   1  11.208160
2     1.347730  0.914570 -0.668152 -0.196757 -0.231634   1   3.795458
3     0.332007  0.577365  2.100847 -0.672990  0.513451   1  20.095006
4     0.716787  0.784172  0.792574 -1.049425 -0.882550   0   3.246151
...        ...       ...       ...       ...       ...  ..        ...
9995 -0.366199  0.152741  2.344528  0.286931  1.124170   1  20.967334
9996  1.710311  0.621336 -1.317947 -0.555407 -0.550753   1   3.074311
9997  0.575043  1.996095 -0.348195  0.046330  0.311212   1  31.600315
9998  0.749128  0.608419  1.121918 -0.629710  0.075430   1   7.718591
9999  0.526421  1.659487  0.514313 -0.880840 -1.048985   0   5.398943

[10000 rows x 14 columns]
[19]:
from sklearn.ensemble import RandomForestRegressor
metalearner_estimate = model_experiment.estimate_effect(identified_estimand_experiment,
                                method_name="backdoor.econml.metalearners.TLearner",
                                confidence_intervals=False,
                                method_params={"init_params":{
                                                    'models': RandomForestRegressor()
                                                    },
                                               "fit_params":{}
                                              })
print(metalearner_estimate)
print("True causal estimate is", data_experiment["ate"])
*** Causal Estimate ***

## Identified estimand
Estimand type: nonparametric-ate

### Estimand : 1
Estimand name: backdoor
Estimand expression:
  d
─────(Expectation(y|Z1,X1,X4,W1,Z0,X3,W3,X2,W4,W2,W0,X0))
d[v₀]
Estimand assumption 1, Unconfoundedness: If U→{v0} and U→y then P(y|v0,Z1,X1,X4,W1,Z0,X3,W3,X2,W4,W2,W0,X0,U) = P(y|v0,Z1,X1,X4,W1,Z0,X3,W3,X2,W4,W2,W0,X0)

## Realized estimand
b: y~v0+Z1+X1+X4+W1+Z0+X3+W3+X2+W4+W2+W0+X0
Target units: ate

## Estimate
Mean value: 11.281848958239234
Effect estimates: [ 8.24880761  8.85381156  1.98326246 ... 20.4788987   3.77948304
 14.93714404]

True causal estimate is 8.619365154692815

Avoiding retraining the estimator

Once an estimator is fitted, it can be reused to estimate effect on different data points. In this case, you can pass fit_estimator=False to estimate_effect. This works for any EconML estimator. We show an example for the T-learner below.

[20]:
# For metalearners, need to provide all the features (except treatmeant and outcome)
metalearner_estimate = model_experiment.estimate_effect(identified_estimand_experiment,
                                method_name="backdoor.econml.metalearners.TLearner",
                                confidence_intervals=False,
                                fit_estimator=False,
                                target_units=data_experiment["df"].drop(["v0","y"], axis=1)[9995:],
                                method_params={})
print(metalearner_estimate)
print("True causal estimate is", data_experiment["ate"])
*** Causal Estimate ***

## Identified estimand
Estimand type: nonparametric-ate

### Estimand : 1
Estimand name: backdoor
Estimand expression:
  d
─────(Expectation(y|Z1,X1,X4,W1,Z0,X3,W3,X2,W4,W2,W0,X0))
d[v₀]
Estimand assumption 1, Unconfoundedness: If U→{v0} and U→y then P(y|v0,Z1,X1,X4,W1,Z0,X3,W3,X2,W4,W2,W0,X0,U) = P(y|v0,Z1,X1,X4,W1,Z0,X3,W3,X2,W4,W2,W0,X0)

## Realized estimand
b: y~v0+Z1+X1+X4+W1+Z0+X3+W3+X2+W4+W2+W0+X0
Target units: Data subset provided as a data frame

## Estimate
Mean value: 13.155958458684603
Effect estimates: [14.58240352 11.70222833 15.95011529 10.52888709 13.01615806]

True causal estimate is 8.619365154692815

Refuting the estimate

Adding a random common cause variable

[21]:
res_random=model.refute_estimate(identified_estimand, dml_estimate, method_name="random_common_cause")
print(res_random)
Refute: Add a Random Common Cause
Estimated effect:11.877495728144678
New effect:12.27643164609447

Adding an unobserved common cause variable

[22]:
res_unobserved=model.refute_estimate(identified_estimand, dml_estimate, method_name="add_unobserved_common_cause",
                                     confounders_effect_on_treatment="linear", confounders_effect_on_outcome="linear",
                                    effect_strength_on_treatment=0.01, effect_strength_on_outcome=0.02)
print(res_unobserved)
Refute: Add an Unobserved Common Cause
Estimated effect:11.877495728144678
New effect:11.766787905625023

Replacing treatment with a random (placebo) variable

[23]:
res_placebo=model.refute_estimate(identified_estimand, dml_estimate,
        method_name="placebo_treatment_refuter", placebo_type="permute",
        num_simulations=10 # at least 100 is good, setting to 10 for speed
        )
print(res_placebo)
Refute: Use a Placebo Treatment
Estimated effect:11.877495728144678
New effect:-0.0003870075346435652
p value:0.4908247078335508

Removing a random subset of the data

[24]:
res_subset=model.refute_estimate(identified_estimand, dml_estimate,
        method_name="data_subset_refuter", subset_fraction=0.8,
        num_simulations=10)
print(res_subset)
Refute: Use a subset of data
Estimated effect:11.877495728144678
New effect:11.924618691290394
p value:0.4286479951555171

More refutation methods to come, especially specific to the CATE estimators.